Brands
產品專區
- Hiden ISOCHEMA
- Mixed Gas Sorption
- XEMIS-100
XEMIS-100
![]() |
|
||||||
|
|
|||||||
|
|||||||
主要特點 |
|||
|
|
在一台自動分析儀上進行等溫線、等壓線和高壓TGA測量 |
||
|
|
與可燃性、腐蝕性和毒性氣體和蒸汽相容 | ||
|
|
對稱的幾何形狀,具有超低的系統總浮力,在高壓下可進行高精度的測量 | ||
|
|
在77K至500℃的溫度下進行測量 | ||
|
|
使用IGA方法對平衡和動力學進行快速和準確的分析 | ||
|
|
完全自動化和先進的可程式設計性 | ||
下載 |
|||
|
|
|||
|
下載最新的XEMIS產品手冊(pdf格式) |
|||
|
|
|||
|
用多孔材料測量H2、CH4和SO2 |
|||
XEMIS-100 新一代混合氣體和蒸氣重力吸附分析儀
先進的氣體和蒸氣吸附分析儀與高壓TGA相結合。
XEMIS的優點:
- 在所有重力吸附分析儀中,可控壓力範圍最廣:主動壓力調節超過7個數量級。
- 獨特的Exosensing技術,適用於腐蝕性物質的操作。
- 優化的性能,適用於從1毫克到5克的樣品大小。

概述
XEMIS系列是高精度的重力式吸附分析儀,工作壓力可達200bar。樣品品質的變化作為應用溫度和壓力的函數被測量,以確定等溫線、等壓線和吸附動力學。XEMIS系列設計用於包括腐蝕劑和易燃物在內的各種氣體和蒸汽的操作,具有從10-2mbar的主動壓力調節功能:一個涵蓋7個數量級的可控壓力範圍。
XEMIS系列提供了可重複的、高解析度的、高精度的測量,即使樣品量小或吸收量小,其性能也是高壓吸附分析儀所無法比擬的。
IGA方法
Hiden Isochema獨特的IGA方法是獨立應用於重力吸附測量的每一步。在每個步驟中,壓力和溫度都被主動調節,由此產生的樣品重量變化被連續記錄。
對動力學重量資料進行即時分析,預測走向平衡的趨勢並顯示在螢幕上。平衡標準被應用於客觀地確定測量進入下一個壓力或溫度值之前所允許的時間。每個平衡點都被繪製在等溫線或等壓線上,並且完整的原始資料也被記錄。
因此,IGA方法可以進行一致的分析,具有最佳的測量精度和更快的整體處理時間。
應用
典型的應用包括:
- 能源氣體儲存
- 高壓TGA
- 聚合物膜表徵
應用資料
水在沸石粉上的吸附作用
金屬有機框架對DMF的吸附
鈀金在303K和40mbar下吸收氫氣的動力學原理
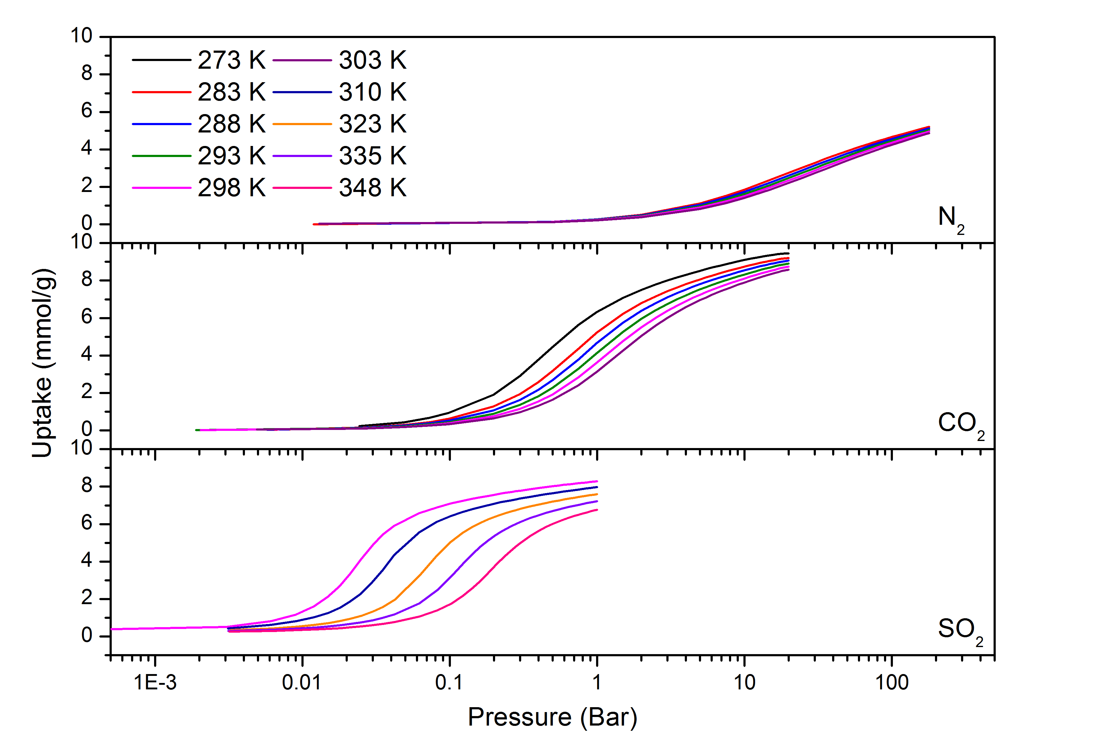
氮氣、二氧化碳和二氧化硫在廣泛的壓力範圍內對MOF的吸附等溫線。數據經John Wiley and Sons許可轉載。
頁岩在高溫和高壓下對甲烷的吸附
金屬有機框架(NOTT-300)對二氧化硫的吸附
22毫克碳納米管的超量吸氫。資料經皇家化學學會許可轉載
主要特點 |
||
|
|
在一台自動分析儀上進行等溫線、等壓線和高壓TGA測量 |
|
|
|
與可燃性、腐蝕性和毒性氣體和蒸汽相容 |
|
|
|
對稱的幾何形狀,具有超低的系統總浮力,在高壓下可進行高精度的測量 |
|
|
|
在77K至500℃的溫度下進行測量 |
|
|
|
使用IGA方法對平衡和動力學進行快速和準確的分析 |
|
|
|
完全自動化和先進的可程式設計性 |
|
|
